人生にゲームをプラスするメディア
ホーム
アクセスランキング
特集
スイッチ2
スイッチ
PS5
スマホ
PCゲーム
スマホゲーム
PCゲーム
Steam
配信者
ニュース
イベント
VTuber
編集部PUSH
レコメンド
読者アンケート
ゲームと暴力事件発生率の関係性とは?米大学が研究結果を発表 1枚目の写真・画像
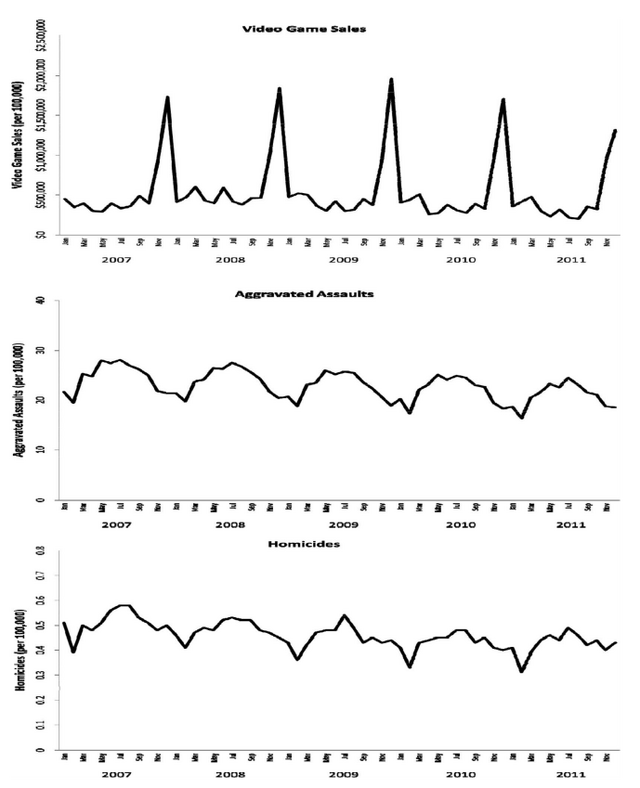
米国ヴィラノヴァ大学とラトガース大学より、ゲームと暴力事件の発生率に関する研究結果が発表されました。
ゲームビジネス
その他
2014.9.14 Sun 11:00
ホーム
›
ゲームビジネス
›
その他
›
記事
›
写真・画像
ゲームと暴力事件発生率の関係性とは?米大学が研究結果を発表
次の画像
この記事へ戻る
1/2
編集部おすすめの記事
ゲームのおかげで11歳の少年が祖父の命を救う ― アイルランド
2014.5.21 Wed 19:07
「暴力的なゲームはプレイヤーのモラルを促進する」―米大学助教が研究結果を発表
2014.7.2 Wed 22:59
「ゲーマーが攻撃的になるのは暴力的演出によるものではない」―最新の研究報告
2014.4.23 Wed 21:16
そもそもFPSって何? 超大作『CoD』シリーズと共に魅力に迫る
2013.11.14 Thu 15:30
米記者が銃犯罪とビデオゲームの相互関係が無いことを示す比較データを公開
2012.12.18 Tue 19:06
ゲームビジネス アクセスランキング
ドラコレスタジオ兼吉氏が語る 「メイド・イン・ジャパン」で世界を目指すコナミのソーシャルコンテンツ
2012.7.19 Thu 20:01
なぜ「アイカツ」のライブ映像は、ユーザーを魅了するのか…製作の裏側をサムライピクチャーズ谷口氏が語る
2014.12.10 Wed 12:45
『逆転裁判』は如何にして産まれたのか、江城元秀氏と巧舟氏が語る――『逆転裁判』特別法廷セミナーレポート・前編
2017.6.12 Mon 16:00
「キミの心の応援団長」バーチャルYouTuber富士葵が込める想いとはーーキーマンインタビュー
2018.2.2 Fri 9:00
アクセスランキングをもっと見る